什么是双原生感光度?
作者:阿利斯特·查普曼(Alister Chapman)

双原生感光度(Dual Native ISO)(又称:Dual Base ISO、双基础感光度、双基准感光度)是一个与索尼电影摄影机VENICE和PXW-FX9相关的术语,您可能听说过。通过该功能,您在正常光照水平和较低光照水平下都能拍出噪点低、动态范围高的图像。但是,当我们说摄影机具有不止一个基础感光度时,究竟是什么意思?
首先,我们谈谈什么是“ISO”。对于电影胶片来说,ISO是该胶片对光的灵敏度。它可以直接衡量。将胶片暴露在既定数量的光线下,并测量胶片密度的变化,从而得出胶片的ISO值。在相同数量的光线下,具有相同ISO值的所有胶片都会发生相同数量的密度变化。
但是对于数字摄影机而言,要确定成像器的灵敏度(或可以说成光电转换能力、感光能力),要复杂得多,因为还有许多其他因素会影响该成像器输出的亮度,诸如增益、使用不同的伽马曲线或其他图像处理。

如果您的胶片摄影机或数字摄影机配备了外部曝光表,将ISO值输入到曝光表中,就可以确定正确曝光情况下正确的光圈和快门速度值。ISO值是为了获得正确的图像亮度。但就数字摄影机而言,该值与成像器的灵敏度几乎没有直接相关。它只是一个可以确定正确屏幕亮度的值。它不会告诉您摄影机增加了多少增益或结果会产生多少噪点或颗粒。
例如,如果您将两台不同的数字摄影机设置为相同的ISO,其中一台可能几乎没有增加增益并且可以拍出低噪点、干净的图像,而另一台可能增加了大量增益,拍出了噪点非常高的图像。然而,对于这两种情况,您在曝光表中都输入了800的ISO值。但很明显,这两款摄影机实际上对光的灵敏度迥异。所以,ISO值不是一个成像器的灵敏度值,而是帮助您获得正确图像亮度的曝光等级。
为什么“原生ISO”如此重要?
基础ISO很重要,因为基础ISO通常代表数字摄影机的最佳设置。通常在这种情况下,成像器输出中没有增加不必要的增益,摄影机处在能够记录最大可能动态范围的水平。想象一下这样一个场景,摄影机输出的信号具有15档动态范围,并且成像器和摄影机的所有配置都经过了优化,因此这15档动态范围非常适合摄影机的完整记录范围。如果我们此时再增加一些额外的增益,来自成像器的信号会变得太大而无法适应摄影机既定的记录范围,因此摄影机就无法再记录15个档位了。

因此,当您使用S-Log3或X-OCN模式进行拍摄时,您几乎总是希望在其基础ISO下操作摄影机,将可记录的动态范围最大化,并尽可能地降低噪点,减少颗粒。
但是,如果我们还有其他办法呢?如果我们能找到一种拥有多个基础ISO的方法会怎样?如果我们可以在两种不同的灵敏度水平下操作成像器而不会明显改变噪点水平或动态范围会怎样?这就要靠双基础ISO了。
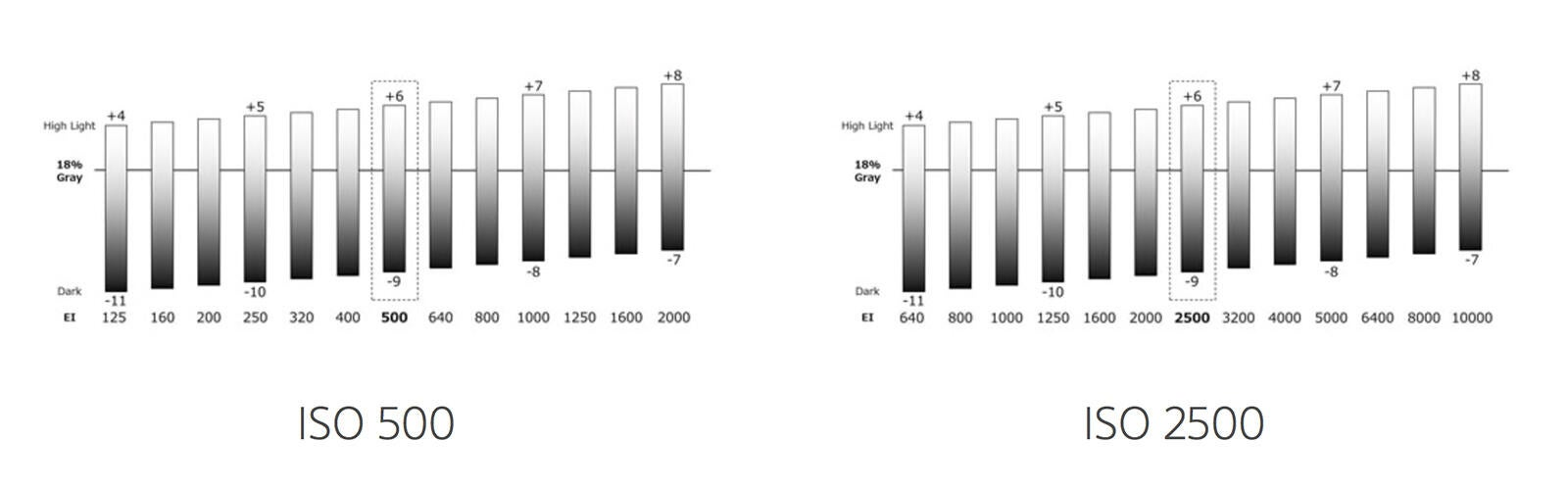
索尼VENICE和FX9摄影机都具有双基础ISO功能,可提供两种截然不同的基础灵敏度。低灵敏度和高灵敏度,具有几乎完全相同的噪点水平和相同的动态范围。无论是在低基础800 ISO还是高基础4000 ISO下拍摄,FX9的动态范围都保持不变。VENICE也是如此,基础ISO为500/2500。

这究竟是如何实现的,这是一个机密。从我所发现的情况来看,VENICE和FX9中使用的成像器几乎肯定具有部分改变每个像素的功能,称为“图像井”。光子每次撞击像素时,它就会将其释放的电子存储起来。


VENICE提供500和2500的基础ISO。FX9在CineEI模式下的基础ISO为800和4000。在传统摄影机中,为了通过增加增益来实现这些高/低ISO,您在高ISO水平下拍出的图像噪点会高五倍。然而,VENICE和FX9在低基础ISO和高基础ISO之间的噪点差异可以忽略不计。

能够切换到更灵敏的基础ISO而不会明显增加噪点,这极大地提高了摄影机的功能。现在,您可以在明亮和黑暗的环境中轻松拍摄高质量的内容。如果您愿意,您可以使用较低的整体光照。
我自己的使用经验表明,与其增加超过6dB以上的增益或使用比基础ISO高一倍以上的ISO,调高摄影机的高灵敏度模式的效果会更好。另外,如果您使用FX9或VENICE,并且您发现使用高基础灵敏度模式会使摄影机过于灵敏,那么您可以使用内置的ND滤镜来实现较低的等效ISO。
关于FX9,最后一个值得注意的地方在于基础ISO也受您选择的伽马曲线的影响。最常见的推荐灵敏度是针对S-Log3模式的。但是当使用其他伽马曲线时,基础灵敏度会有所不同。另外值得注意的是,如果您在增益模式而不是ISO模式下使用摄影机,0dB增益将始终是基础灵敏度。因此,如果您不记得特定伽马曲线的基础ISO灵敏度是多少,请考虑使用增益和0dB。
